Ceramic Capacitor Basis: Definition, Types and Parameters

How to Test Small Value Ceramic Capacitors
Ⅰ. What is a ceramic capacitor?
Ceramic capacitors are also known as monolithic capacitors and ceramic capacitors. A ceramic capacitor is one whose dielectric material is ceramic, as the name suggests. Ceramic capacitors are classified into two types based on the ceramic materials used: low frequency ceramic capacitors and high frequency ceramic capacitors. It can be classified as disc capacitors, tubular capacitors, rectangular capacitors, chip capacitors, feedthrough capacitors , and so on based on their construction.
Ⅱ. Definition of capacitance
2.1 The nature of capacitors
Two conductors that are close to each other with a non-conductive insulating medium sandwiched between them form a capacitor. A capacitor stores charge when a voltage is applied between its two plates.

Figure. 1
2.2 The size of the capacitance
The ratio of the amount of charge on one conducting plate to the voltage between the two plates is the capacitance of a capacitor. The farad is the basic unit of capacitance in a capacitor (F). In circuit diagrams, capacitive elements are commonly denoted by the letter C.
The formula for the size of the capacitance:

Figure. 2
: The dielectric constant of the medium between the two polar plates
S: the facing area between the two polar plates
k: electrostatic constant, equal to k=8.987551×10^9N m^2/C^2
d: the distance between the two polar plates
The simplified formula is:

Figure. 3
There are three ways to make the capacitor capacity large:
①Use a medium with a high dielectric constant
②Increase the area between the plates
③ Reduce the distance between the plates.
Ⅲ. Physical structure of MLCC ceramic capacitors

Figure. 4
Multi-layer Ceramic Capacitors are abbreviated as MLCC (Multi-layer Ceramic Capacitors). The ceramic dielectric diaphragms with printed electrodes (internal electrodes) are stacked dislocation-wise, and a ceramic chip is made by one-time high-temperature sintering, followed by metal layers (external electrodes) being sealed at both ends of the chip to form a comparable structure. Monolithic capacitor is another name for the monolithic construction.

Figure. 5
The internal electrodes are layered one after the other to increase the area of the capacitor's two electrode plates, hence increasing the capacitance.
The internal filling material is ceramic dielectric. Capacitors manufactured of various media have diverse features, such as huge capacity, good temperature characteristics, good frequency characteristics, and so on. This is why ceramic capacitors come in so many different shapes and sizes.
Ⅳ. Basic parameters of ceramic capacitors
4.1 Units of Capacitance
In addition to F (microfarad), nF, and pF (picofarad), the basic unit of capacitance is F (method). Because the capacity of capacitor F is quite big, we usually see F, nF, and pF units, not F units.
The following is the exact conversion between them:
1F=1000000μF
1μF=1000nF=1000 000pF
4.2 Capacitance capacity
Ceramic capacitor capacity ranges from 0.5pF to 100uF.
The real production capacitor's ceramic capacity value is likewise discrete, and the most usually used capacitor capacity is as follows:

Figure. 6
Ceramic capacitor capacitance ranges from 0.5pF to 100uF, and the capacitance varies depending on the capacitor packaging (size).
When buying capacitors, you can't just go for the biggest one. It is correct to select the appropriate option. For example, 0402 capacitors have a 10uF/10V rating, while 0805 capacitors have a 47uF/10V rating. The capacitor for the top grid should be chosen.
In general, 4.7uF-6.3V is recommended for 0402, 22uF/6.3V for 0603, and 47uF/6.3V for 0805. Others who have a greater withstand voltage must limit their capacity as a result.
When it comes to meeting the requirements, the choice is primarily based on whether it is widely used and whether it is inexpensive.
4.3 Rated voltage
Common rated voltages of ceramic capacitors are: 2.5V, 4V, 6.3V, 10V, 16V, 25V, 50V, 63V, 100V, 200V, 250V, 450V, 500V, 630V, 1KV, 1.5KV, 2KV, 2.5KV, 3KV, etc. Wait.
The rated voltage is proportional to the distance between the capacitor's two polar plates. The greater the rated voltage, the greater the distance, as the medium would otherwise be broken down. As a result, a capacitor of the same capacity with a greater withstand voltage value and a larger dimension is produced.
The capacitor's applied voltage cannot exceed the rated voltage indicated in the specification. In fact, when selecting capacitors in the circuit design, a margin of around 70% of the rated voltage will be left.
4.4 Capacitor Type
Due to their various major polarization types, different types of media have varying response times and polarizabilities to electric field changes. The capacity of the capacitor under the same volume is variable, as is the dielectric loss and capacity stability. According to the temperature stability of capacity, dielectric materials can be separated into two categories: class I ceramic capacitors and class II ceramic capacitors. X7R, X5R, Y5V, Z5U, and other X7R, X5R, Y5V, Z5U, and other X7R, X5R, Y5V, Z5U, and other X7R, X5R, Y5V, Z5U, and other
There are two types of MLCC ceramic capacitors: those with a high dielectric constant and those with temperature correction.

Figure. 7
Domestic: Fenghua FH, Yuyang Technology EYANG, Xinchang Electric Ceramics PSA, Sanhuan CCTC, etc. Murata muRata, Panasonic PANASONIC, Samsung SAMSUNG, TAIYO YUDEN, TDK , VISHAY , YAGEO , etc. 4.5
Ⅴ. Characteristics of ceramic capacitors
5.1 Actual circuit model of the capacitor
The capacitors that are really created are not ideal, there will be parasitic inductance, and corresponding series resistance exists as one of the essential components. At the same time, there is a high insulation resistance because the medium between the two electrode plates of the capacitor is not completely insulated.
As a result, the actual capacitance model, among other things, is as follows:

Figure. 8
5.2 Impedance-Frequency Characteristics
We may derive the capacitance's complex impedance formula from the above capacitance model:

Figure. 9
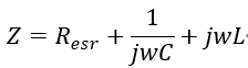
The insulating resistance of the actual ceramic capacitor is very high, in the mega-ohm range, therefore R is significantly higher, hence the simplified formula is:

Figure. 10
Capacitive reactance, inductive reactance, and equivalent series resistance are among them. When the frequency is low (smaller), the capacitive reactance is significantly larger than the inductive reactance, and the capacitance is primarily capacitive, whereas when the frequency is high, the capacitance is primarily inductive.
When the impedance equals the equivalent series resistance, which is when resonance occurs, the impedance achieves its lowest value. The effect is best at this moment if it is used for filtering.
The following is the impedance frequency curve of a Murata 10uF capacitor:

Figure. 11
The vertical axis is the modulus of the complex impedance in this coordinate system, which is a logarithmic coordinate system.
5.3 Resonant frequency
The capacitor's impedance is the lowest at the resonant frequency, and the filtering effect is the best, as shown in the preceding section. So, what is the resonance frequency of different capacitor specifications?
The resonance frequency table of Murata's most widely used capacitors is shown in the diagram below:

Figure. 12
The frequency curve looks like this:

Figure. 13
5.4 Equivalent Series Resistance ESR
The equivalent series resistance of ceramics is not constant, as can be observed from the previous section, and it has a strong relationship with frequency. The ESR of the above 10uF capacitor is 3 at 100 Hz and 3m at 700 Hz, a difference of 1000 times, which is significant.
We are quite concerned with the ceramic capacitor's ESR, especially when it is used in switching power supplies, because it must be used to determine the ripple size. So, how much ESR does each capacitor model have?
The graphic below illustrates the ESR table of Murata regular capacitors.

Figure. 14
The ES frequency curve looks like this:

Figure. 15
5.5 Precision size
The capacitor's precision is substantially lower when compared to that of the resistor. The general capacitor's accuracy is as follows.
There are usually two to four accuracy grades available for the same type of capacitor precision.

Figure. 16
5.6 Temperature characteristics
Varied types of capacitors have different operating temperature ranges, and their capacity fluctuates with temperature, as shown in the table below.

Figure. 17
When designing the circuit, the temperature coefficient of various capacitors must be considered, and the capacitor that best satisfies the requirements based on the usage situation must be chosen. Y or Z series capacitors cannot be used in several applications where capacitance is required

Figure. 18
5.7 DC bias characteristics
Ceramic capacitors' DC bias properties are another distinguishing feature.
Because the capacitance may differ from the nominal value owing to the application of DC voltage, special attention should be paid to capacitors (X5R, X7R characteristics) that are categorized as high inductivity series among ceramic capacitors.
As demonstrated in the diagram below, the greater the DC voltage supplied to a capacitor with a high dielectric constant, the lower the real capacitance.
The DC bias features become increasingly visible as the capacitance value rises. The capacitance of 47uF-6.3V-X5R, for example, is only about 15% of its nominal value at 6.3V, whereas the capacitance of 100nF-6.3V-X5R is also only about 15% of its nominal value. The capacitor's nominal capacitance value is its capacitance value, as shown in the figure below.

Figure. 19
So, what is the principle of the DC bias characteristic?
High-inductivity series capacitors generally use dielectrics with BaTiO3 (barium titanate) as the major component among ceramic capacitors.
The crystal structure of BaTiO3 is perovskite-shaped, as seen in the image below. It is a cubic crystal above the Curie temperature, with Ba2+ ions at the apex, O2- ions in the middle of the surface, and Ti4+ ions in the cube's center. Location.

Figure. 20
The crystal structure of a cubic crystal at a temperature above the Curie temperature (approximately 125°C) is shown above, and a cube (tetragonal) is stretched in one axis (C axis) and slightly shortened in the other axis in the usual temperature range below this temperature. The structure of the crystal.
Polarization occurs at this point due to the displacement of Ti4+ ions in the crystal unit's extension direction. This polarization, however, occurs even when there is no external electric field or voltage. As a result, it's known as spontaneous polarization. (Possible polarization) As a result, it has a spontaneous polarization property, and the orientation of the spontaneous polarization can be changed in response to an external electric field, a property known as ferro electricity.

Figure. 21
The permittivity, which can be measured as an electrostatic capacitance, is the same as the phase change of spontaneous polarization per unit volume.
The spontaneous polarization is in a random orientation state when no DC voltage is applied, but when a DC voltage is applied from the outside, the free phase transition during spontaneous polarization is difficult to achieve because the spontaneous polarization in the dielectric is bound by the direction of the electric field. As a result, the electrostatic capacity obtained is smaller than before the bias voltage was applied.
When a DC voltage is applied, the electrostatic capacity decreases according to this concept.
Furthermore, the temperature compensation capacitors (CH, C0G characteristics, etc.) are composed primarily of constant-electric ceramics, and the capacitance is unaffected by DC voltage characteristics.
5.8 Leakage current and insulation resistance
Ceramic capacitors have a low leakage current and a high insulating resistance.
The capacity is primarily related to the insulating resistance. The leakage current increases as the capacity increases. For your convenience, Murata has provided an insulating resistance table for numerous popular capacitors.
The capacitance of big capacitors has also reached the microamp level, despite the fact that the leakage current of ceramic capacitors is not very high. If the product has a very low power consumption, some capacitors with a high insulating resistance are required.

Figure. 22
Ⅵ. Frequently Asked Questions
6.1 Capacitor failure due to mechanical stress
The most pitted failure of ceramic capacitors is short-circuit. Once the ceramic capacitor is short-circuited, the product cannot be used normally, and the harm is very large. So what is the cause of the short-circuit failure?
The solution is that mechanical stress will induce cracks, which will lower capacitance or cause a short-circuit.
Twist cracks happen for a variety of reasons. Because the patch is attached to the circuit board, this is the case. Twist fractures form when a large amount of mechanical stress is applied to a board, causing it to bend or age.
The capacity lowers when a twist crack extends from one end of the lower outer electrode to the other end of the higher outer electrode, making the circuit appear open (open).As a result, even if the crack is not severe, if it reaches the chip's internal electrode, the organic acid and moisture in the flux will pass through the crack gap, lowering the insulating resistance performance. Furthermore, the voltage load will increase, and if the current flow is excessive, the worst case scenario will result in a short circuit.
It is difficult to remove a twist crack from the outside once it has formed, so it is important to avoid using excessive mechanical effort to prevent the crack from forming.
Generally, the larger the capacitor package is, the easier it is to cause mechanical stress failure.
6.1.2 Mechanical stress behavior
So, what are the common behaviors that cause stress?
①Shipment reason: The capacitor is picked up with too much force by the placement machine, the force point is not in the middle, and the capacitor's unevenness may cause damage.
②Excessive soldering: When the temperature changes, excessive soldering creates a high tension on the chip capacitor, causing it to break; if the soldering is insufficient, the capacitor will be ripped off the PCB .

Figure. 23
③PCB bending: The PCB is bent after soldering to the PCB board, pulling the ceramic capacitor, which will be destroyed after overstressing.

Figure. 24
④Drop, collision: The PCB/finished product is dropped, generating vibration or deformation, putting mechanical stress on the capacitor.
⑤ Manual welding: sudden heating or cooling leads to relatively large tension (the solution is to preheat first)
6.1.3 PCB Design Considerations
The capacitor placement direction is parallel to the bending direction of the PCB, and the placement location is far from the point where the PCB is severely distorted. Avoid putting stress on the capacitor's long side; as illustrated in the diagram, the capacitor on the right should be positioned on the left.

Figure. 25
The following PCB puzzle, the force size is: A>B, A>B, A>C, A>D

Figure. 26
Capacitors also need to be kept away from screw holes to reduce stress.

Figure. 27
6.2 Howling
In general, ferroelectric barium titanate-based ceramics with temperature characteristics of X5R/B and X7R/R are used as the dielectric material in high dielectric constant ceramic capacitors with temperature characteristics of X5R/B and X7R/R.
The monolithic ceramic capacitor chip expands and contracts in the stacking direction when an AC voltage is applied. As a result, the circuit board expands and contracts in tandem, generating noise as a result of the circuit board's vibration. The patch and circuit board's amplitude is just approximately 1pm to 1nm, however the sound is really loud.
In truth, the noise created by the capacitor is nearly difficult to hear, but after it is installed on the circuit board, the vibration will be amplified, and the period of the amplitude will reach the frequency band (20Hz20kHz) that the human ear can hear, allowing the sound to pass through. recognizing sounds with your ears You can hear "ji——," "ki——," "pi——," and other sounds, for example.

Figure. 28
Ceramic capacitors' "whistling" phenomenon has a vibration change of only approximately 1pm 1nm, which is 1/10 to multiple tenths of piezoelectric applications, thus we can conclude that this phenomena is highly essential for monolithic ceramics. Because of the capacitor's and surrounding components' influence, there is no reliability issue.
1. What is the safety margin for ceramic capacitors?
The safety margin of ceramic capacitors refers to the withstand voltage or capacity of the capacitor based on the requirements of the customer, and the capacity and withstand voltage are adjusted upward to achieve a certain excess margin. This is to allow the capacitor to have a larger capacity. and voltage to ensure stable operation in suitable circuit voltage, even in circuits with higher capacity and withstand voltage requirements.
2. How long do ceramic capacitors last?
The service life of film capacitors is generally two years. The ceramic design is used for 20 years. It is normal to use 10 years. In design, the resistance of high-voltage ceramic capacitors is much smaller than that of wave capacitors. Film capacitors have large internal resistance by winding. The effect of large internal resistance is that the internal resistance continues to increase during the repeated charge and discharge process of the capacitor, so that the capacitor burns out after a certain period of time. The internal resistance of high-voltage ceramic capacitors is very small, which is also the reason for long life.
3. What is the difference between film capacitors and ceramic capacitors?
1. The difference between dielectric materials: the dielectric material of ceramic capacitors is ceramics, and the film capacitors use metal foils as electrodes, which are overlapped with plastic films such as polyethylene, polypropylene, polystyrene or polycarbonate from both ends, and then rolled. Wrap into a cylindrical shape. 2. Different applications: ceramic capacitors have small capacity, good high-frequency characteristics, the operating temperature can reach hundreds of thousands of degrees, and the unit price is not high. Generally used in bypass and filtering applications; film capacitors have high unit price, good stability, and outstanding voltage and current resistance, but the capacity is generally not more than 1mF, and is generally used for step-down and coupling.
What is Feedthrough Capacitor?UTMEL06 November 202139802Hello, everyone. I am Rose. Today I will introduce the feedthrough capacitor to you. The feedthrough capacitor is a three-terminal capacitor that is used to reduce high frequencies. The feedthrough capacitor, unlike regular three-terminal capacitors, is directly installed on the metal panel, resulting in a lower grounding inductance and a negligible effect on the lead inductance.
Read More
Detailed Explanation About Twenty Kinds of CapacitorUTMEL08 November 20218453Hello everyone, I am Rose. Today I will introduce 20 kinds of capacitor to you. I will illustrate them in three or four aspects: Structure, features, Usages, advantages and disadvantages.
Read More
What is a Polypropylene Capacitor?UTMEL08 November 202120369A polypropylene capacitor is a kind of capacitor with a very stable electric capacity. It is often used in applications requiring very precise capacitance and can replace most polyphenylene or mica capacitors.
Read More
What is the Difference between MOM, MIM and MOS Capacitors?UTMEL17 April 202565931This article mainly introduces the structure, principle, advantages and disadvantages of MOM, MIM and MOS capacitors and the difference between them.
Read More
What is a Power Capacitor?UTMEL20 November 20215863Power capacitors are capacitors used in power systems and electrical equipment. Any two pieces of metal conductors are separated by an insulating medium to form a capacitor. The size of the capacitor is determined by its size and the characteristics of the insulating medium between the two plates.
Read More
Subscribe to Utmel !
6AV63722DF470AX0Siemens
6AV63722DF270CX0Siemens
6AV63722DF370AH0Siemens
6AV63722DF070GX0Siemens
6AV63722DF070EX0Siemens
6AV63722DF070JH0Siemens
6AV63722DF470AH0Siemens
6AV63722DF000HL0Siemens
6AV63722DF270CH0Siemens
A5E00187052Siemens


Product
Brand
Articles
Tools


